Упр.655 ГДЗ Ткачёва 6 класс (Математика)
Решение #1

Рассмотрим вариант решения задания из учебника Ткачёва 6 класс, Просвещение:
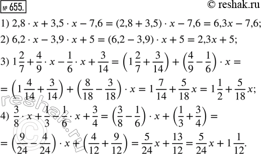
655. Упростить выражение:
1) 2,8 · х + 3,5 · х - 7,6; 2) 6,2 · х — 3,9 · x + 5;
3) 1 2/7 + 4/9 · x - 1/6 · x + 3/14; 4) 3/8 · x + 1/3 - 1/6 · x + 3/4.
*размещая тексты в комментариях ниже, вы автоматически соглашаетесь с пользовательским соглашением