Упр.661 ГДЗ Дорофеев Суворова 7 класс (Алгебра)
Решение #1

Рассмотрим вариант решения задания из учебника Дорофеев, Суворова, Бунимович 10-11 класс, Просвещение:
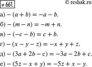
661 Раскройте скобки:
а) -(а + b);
б) -(m-n);
в) -(-с - b);
г) -(x-y-z);
д) -(3а + 2b -с);
е) -(5z - х + у).
*размещая тексты в комментариях ниже, вы автоматически соглашаетесь с пользовательским соглашением