Упр.67 ГДЗ Колягин Ткачёва 10 класс (Алгебра)
Решение #1
Решение #2

Рассмотрим вариант решения задания из учебника Колягин, Ткачёва, Фёдорова 10 класс, Просвещение:
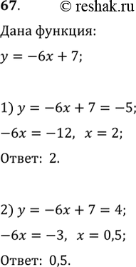
Найти значение х, при котором функция у = -6х + 7 принимает значение, равное -5; 4.
*размещая тексты в комментариях ниже, вы автоматически соглашаетесь с пользовательским соглашением