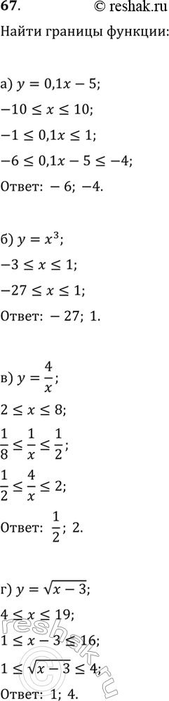
Упр.67 ГДЗ Макарычев Миндюк 9 класс (Углубленный) (Алгебра)
Решение #1

Рассмотрим вариант решения задания из учебника Макарычев, Миндюк, Нешков 9 класс, Просвещение:
67. Найдите наибольшее и наименьшее значения функции. Укажите верхнюю и нижнюю границы функции:
а) y=0,1x-5, где x?[-10; 10]; в) y=4/x, где x?[2; 8];
б) y=x^3, где x?[-3; 1]; г) y=v(x-3), где x?[4; 19].
*размещая тексты в комментариях ниже, вы автоматически соглашаетесь с пользовательским соглашением