Упр.675 ГДЗ Дорофеев Суворова 7 класс (Алгебра)
Решение #1

Рассмотрим вариант решения задания из учебника Дорофеев, Суворова, Бунимович 10-11 класс, Просвещение:
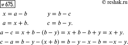
675 Выразите а - с и с - а через х и у, если х = а - b, у = b - с.
*размещая тексты в комментариях ниже, вы автоматически соглашаетесь с пользовательским соглашением