Упр.677 ГДЗ Колягин Ткачёва 11 класс (Алгебра)
Решение #1
Решение #2

Рассмотрим вариант решения задания из учебника Колягин, Ткачёва, Фёдорова 11 класс, Просвещение:
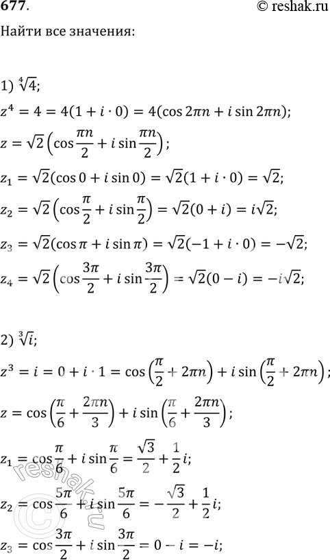
677. Найти все значения:
1) корень 4 степени 4;
2) корень 3 степени i;
3) корень 6 степени 1;
4) корень 4 степени - 2 + 2i корень 3.
*размещая тексты в комментариях ниже, вы автоматически соглашаетесь с пользовательским соглашением