Упр.678 ГДЗ Колягин Ткачёва 8 класс (Алгебра)
Решение #1

Рассмотрим вариант решения задания из учебника Колягин, Ткачёва, Фёдорова 8 класс, Просвещение:
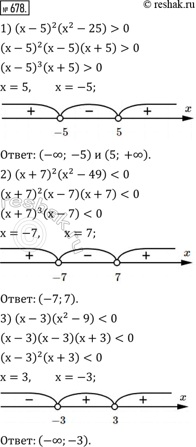
678. Решить методом интервалов неравенство:
1) (x-5)^2 (x^2-25)>0;
2) (x+7)^2 (x^2-49)<0;
3) (x-3)(x^2-9)<0;
4) (x-4)(x^2-16)>0;
5) (x-8)(x-1)(x^2-1)?0;
6) (x-5)(x+2)(x^2-4)?0.
*размещая тексты в комментариях ниже, вы автоматически соглашаетесь с пользовательским соглашением