Упр.681 ГДЗ Никольский Потапов 9 класс (Алгебра)

Решение #1

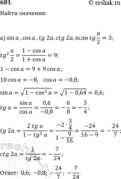
Изображение 681. Найдите:а) sin a, cos a, tg 2a и ctg 2a, если tg а/2 = 3;б) sin2a, cos2a, tg2a и ctg2a, если tga = 1/7;в) sin4a, если tga =...
Дополнительное изображение

Решение #2

Изображение 681. Найдите:а) sin a, cos a, tg 2a и ctg 2a, если tg а/2 = 3;б) sin2a, cos2a, tg2a и ctg2a, если tga = 1/7;в) sin4a, если tga =...
Дополнительное изображение

Рассмотрим вариант решения задания из учебника Никольский, Потапов 9 класс, Просвещение:
681. Найдите:
а) sin a, cos a, tg 2a и ctg 2a, если tg а/2 = 3;
б) sin2a, cos2a, tg2a и ctg2a, если tga = 1/7;
в) sin4a, если tga = 3.
*Цитирирование задания со ссылкой на учебник производится исключительно в учебных целях для лучшего понимания разбора решения задания.
*размещая тексты в комментариях ниже, вы автоматически соглашаетесь с пользовательским соглашением