Упр.688 ГДЗ Никольский Потапов 8 класс (Алгебра)
Решение #1

Рассмотрим вариант решения задания из учебника Никольский, Потапов 8 класс, Просвещение:
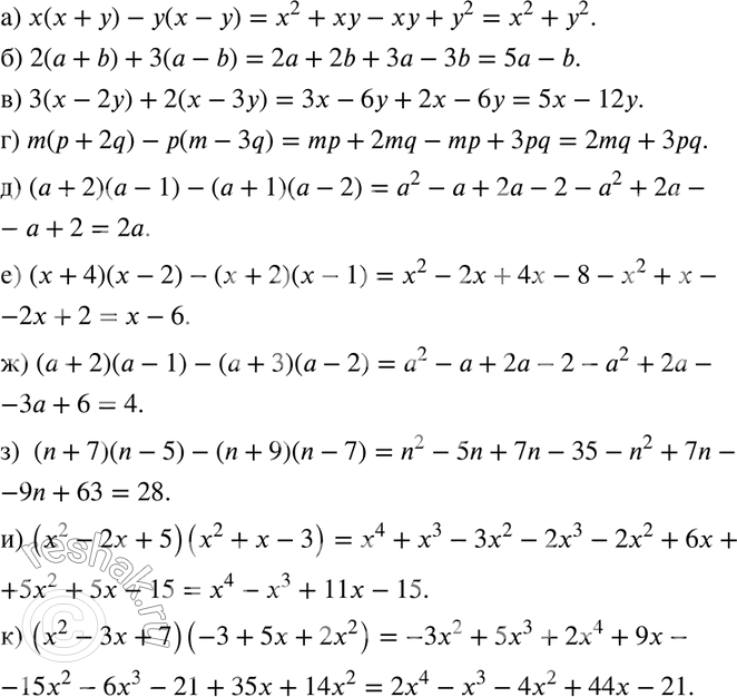
688. а) х(х + у) - у(х - у);
б) 2(a+b) + 3(a-b);
в) 3 (х - 2у) + 2 (х - 3у);
г) m(p+2q) - p(m-3q);
д) (а + 2)(а - 1) - (а + 1)(а - 2);
е) (x + 4) (х - 2) - (х + 2)(х - 1);
ж) (а + 2) (а - 1) - (а + 3)(а - 2);
з) (n + 7)(n - 5) - (n + 9)(n - 7);
и) (х2 - 2х + 5) (х2 + х - 3);
к) (х2 - 3х + 7)(-3 + 5x + 2x2).
*размещая тексты в комментариях ниже, вы автоматически соглашаетесь с пользовательским соглашением