Упр.695 ГДЗ Мерзляк 9 класс (Алгебра)
Решение #1
Решение #2

Рассмотрим вариант решения задания из учебника Мерзляк, Полонская, Якир 9 класс, Вентана-Граф:
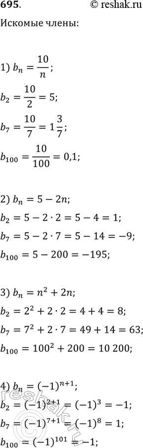
695. Найдите второй, седьмой и сотый члены последовательности (bn), заданной формулой n-го члена:
1) bn = 10/n;
2) bn = 5 - 2n;
3) bn = n^2 + 2n;
4) bn = (-1)^(n + 1).
*размещая тексты в комментариях ниже, вы автоматически соглашаетесь с пользовательским соглашением