Упр.697 ГДЗ Мерзляк 8 класс (Алгебра)
Решение #1
Решение #2
Решение #3

Рассмотрим вариант решения задания из учебника Мерзляк, Полонская, Якир 8 класс, Вентана-Граф:
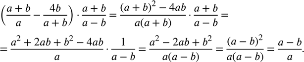
697. Упростите выражение:
((а + b)/a - 4b/(а + b)) * (а + b)/(а - b).
*размещая тексты в комментариях ниже, вы автоматически соглашаетесь с пользовательским соглашением