Упр.698 ГДЗ Ткачёва 6 класс (Математика)
Решение #1

Рассмотрим вариант решения задания из учебника Ткачёва 6 класс, Просвещение:
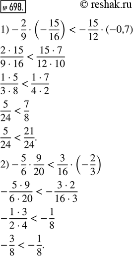
698. Сравнить произведения:
1) -2/9 · (-15/16) и -15/12 · (-0,7);
2) -5/6 · 9/20 и 3/16 · (-2/3).
*размещая тексты в комментариях ниже, вы автоматически соглашаетесь с пользовательским соглашением