Упр.699 ГДЗ Макарычев Миндюк 9 класс (Углубленный) (Алгебра)
Решение #1

Рассмотрим вариант решения задания из учебника Макарычев, Миндюк, Нешков 9 класс, Просвещение:
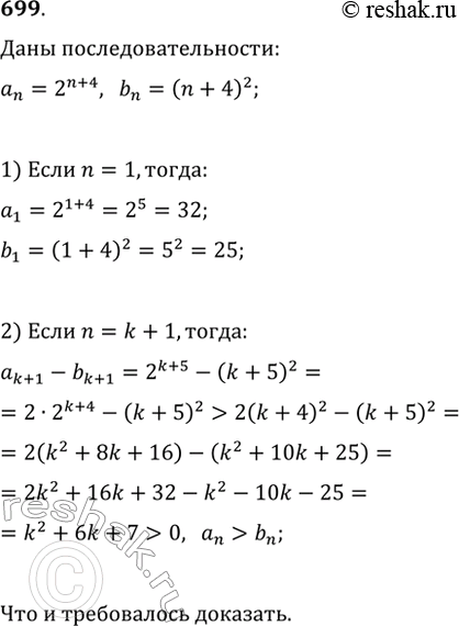
699. Даны последовательности (a_n), где b_n=(n+4)^2. Докажите, что при любом n верно неравенство a_n>b_n.
*размещая тексты в комментариях ниже, вы автоматически соглашаетесь с пользовательским соглашением