Упр.7.12 ГДЗ Мерзляк Поляков 7 класс (Алгебра)
Решение #1

Рассмотрим вариант решения задания из учебника Мерзляк, Поляков 7 класс, Вентана-Граф:
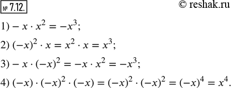
7.12. Упростите выражение:
1)-x•x^2; 2) (-x)^2•x; 3)-x•(-x)^2; 4) (-x)•(-x)^2•(-x).
*размещая тексты в комментариях ниже, вы автоматически соглашаетесь с пользовательским соглашением