Упр.7.20 ГДЗ Мерзляк Поляков 7 класс (Алгебра)
Решение #1

Рассмотрим вариант решения задания из учебника Мерзляк, Поляков 7 класс, Вентана-Граф:
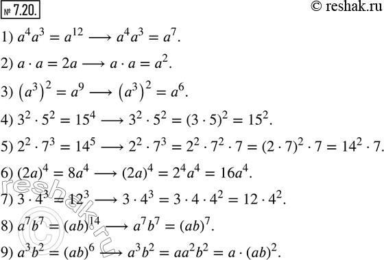
7.20. Найдите в данных примерах ошибки:
1) a^4 a^3=a^12; 2) a•a=2a; 3) (a^3 )^2=a^9;
4) 3^2•5^2=15^4; 5) 2^2•7^3=14^5; 6) (2a)^4=8a^4;
7) 3•4^3=12^3; 8) a^7 b^7=(ab)^14; 9) a^3 b^2=(ab)^6.
*размещая тексты в комментариях ниже, вы автоматически соглашаетесь с пользовательским соглашением