Упр.7.25 ГДЗ Мерзляк Поляков 7 класс (Алгебра)
Решение #1

Рассмотрим вариант решения задания из учебника Мерзляк, Поляков 7 класс, Вентана-Граф:
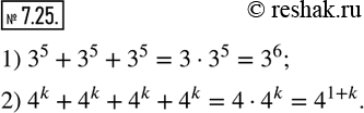
7.25. Представьте в виде степени выражение:
1) 3^5+3^5+3^5; 2) 4^k+4^k+4^k+4^k,где k-натуральное число.
*размещая тексты в комментариях ниже, вы автоматически соглашаетесь с пользовательским соглашением