Упр.7.33 ГДЗ Мерзляк Поляков 7 класс (Алгебра)
Решение #1

Рассмотрим вариант решения задания из учебника Мерзляк, Поляков 7 класс, Вентана-Граф:
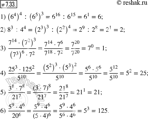
7.33. Найдите значение выражения:
1) (6^4 )^4 :(6^5 )^3; 4) (?25^3•125^2)/5^10 ;
2) 8^3 :4^4; 5) (3^8•7^8)/?21^7 ;
3) (7^14•(7^2 )^3)/((7^3 )^6•7^2 ); 6) (5^9•4^6)/?20^6 .
*размещая тексты в комментариях ниже, вы автоматически соглашаетесь с пользовательским соглашением