Упр.7.37 ГДЗ Мерзляк Поляков 7 класс (Алгебра)
Решение #1

Рассмотрим вариант решения задания из учебника Мерзляк, Поляков 7 класс, Вентана-Граф:
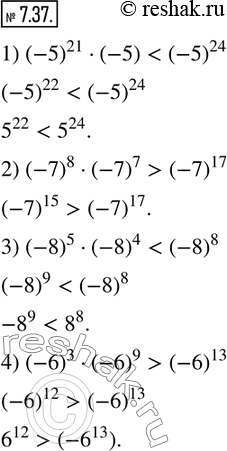
7.37. Сравните значения выражений:
1) (-5)^21•(-5) и (-5)^24;
2) (-7)^8•(-7)^7 и (-7)^17;
3) (-8)^5•(-8)^4 и (-8)^8;
4) (-6)^3•(-6)^9 и (-6)^13.
*размещая тексты в комментариях ниже, вы автоматически соглашаетесь с пользовательским соглашением