Упр.7.55 ГДЗ Мерзляк Поляков 7 класс (Алгебра)
Решение #1

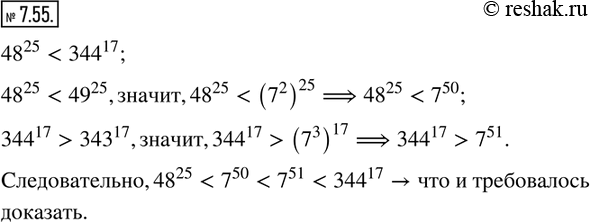
Рассмотрим вариант решения задания из учебника Мерзляк, Поляков 7 класс, Вентана-Граф:
7.55. Докажите, что 48^25 < 344^17.
*размещая тексты в комментариях ниже, вы автоматически соглашаетесь с пользовательским соглашением