Упр.70 ГДЗ Колягин Ткачёва 10 класс (Алгебра)
Решение #1
Решение #2

Рассмотрим вариант решения задания из учебника Колягин, Ткачёва, Фёдорова 10 класс, Просвещение:
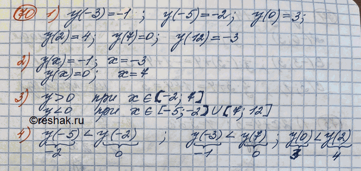
С помощью графика функции у = у(х), изображённого на рисунке 14:
1) найти y(-3), y(—5), y(0), y(2), y(7), y(12);
2) найти значения ху при которых у(х) = -1, у(х) = 0;
3) найти промежутки знакопостоянства функции;
4) сравнить у(-5) и y(-2); y(—3) и y(7); y(0) и y(2).
*размещая тексты в комментариях ниже, вы автоматически соглашаетесь с пользовательским соглашением