Упр.70 ГДЗ Мерзляк 8 класс (Алгебра)
Решение #1
Решение #2
Решение #3

Рассмотрим вариант решения задания из учебника Мерзляк, Полонская, Якир 8 класс, Вентана-Граф:
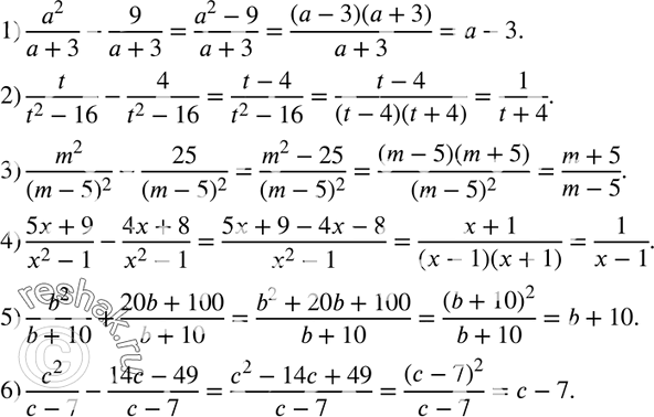
70. Упростите выражение:
1) a2/(a+3) - 9/(a+3);
2) t/(t2-16) - 4/(t2-16);
3) m2/(m-5)2 - 25/(m-5)2;
*размещая тексты в комментариях ниже, вы автоматически соглашаетесь с пользовательским соглашением