Упр.702 ГДЗ Мерзляк 8 класс (Алгебра)
Решение #1
Решение #2
Решение #3

Рассмотрим вариант решения задания из учебника Мерзляк, Полонская, Якир 8 класс, Вентана-Граф:
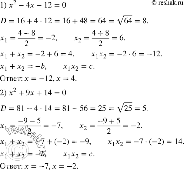
702. Решите уравнение, найдите сумму и произведение его корней и сравните их со вторым коэффициентом и свободным членом уравнения:
1) x2 - 4x - 12 = 0;
2) x2 + 9x + 14 = 0 .
*размещая тексты в комментариях ниже, вы автоматически соглашаетесь с пользовательским соглашением