Упр.705 ГДЗ Мерзляк Полонский 7 класс (Алгебра)
Решение #1
Решение #2

Рассмотрим вариант решения задания из учебника Мерзляк, Полонская, Якир 7 класс, Вентана-Граф:
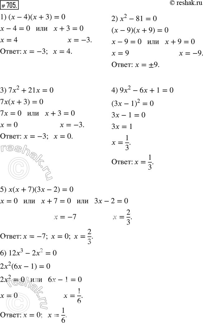
705. Решите уравнение:
1) (х - 4)(х + 3) = 0;
2) х2 - 81 = 0;
3) 7х2 + 21х = 0;
4) 9х2 - 6х + 1 = 0;
5) х (х + 7)(3х - 2) = 0;
6) 12х3 - 2х2 = 0.
*размещая тексты в комментариях ниже, вы автоматически соглашаетесь с пользовательским соглашением