Упр.708 ГДЗ Колягин Ткачёва 11 класс (Алгебра)
Решение #1
Решение #2

Рассмотрим вариант решения задания из учебника Колягин, Ткачёва, Фёдорова 11 класс, Просвещение:
Вычислить (708—712).
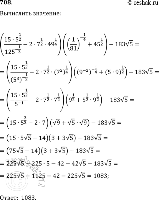
708 (15*5^1/2/125^-1/3 - 2 * 7^1/2 * 49^1/4)((1/81)^-1/4 + 45^1/2)-183 корень 5.
*размещая тексты в комментариях ниже, вы автоматически соглашаетесь с пользовательским соглашением