Упр.711 ГДЗ Колягин Ткачёва 9 класс (Алгебра)
Решение #1

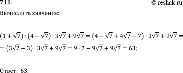
Рассмотрим вариант решения задания из учебника Колягин, Ткачёва, Фёдорова 9 класс, Просвещение:
711. Вычислить (1+v7)·(4-v7)·3v7+9v7.
*размещая тексты в комментариях ниже, вы автоматически соглашаетесь с пользовательским соглашением