Упр.716 ГДЗ Мерзляк Полонский 7 класс (Алгебра)
Решение #1
Решение #2

Рассмотрим вариант решения задания из учебника Мерзляк, Полонская, Якир 7 класс, Вентана-Граф:
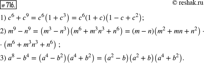
716. Разложите на множители:
1) с6 + с9;
2) m9- n9;
3) а8 - b4.
*размещая тексты в комментариях ниже, вы автоматически соглашаетесь с пользовательским соглашением