Упр.726 ГДЗ Колягин Ткачёва 10 класс (Алгебра)
Решение #1
Решение #2

Рассмотрим вариант решения задания из учебника Колягин, Ткачёва, Фёдорова 10 класс, Просвещение:
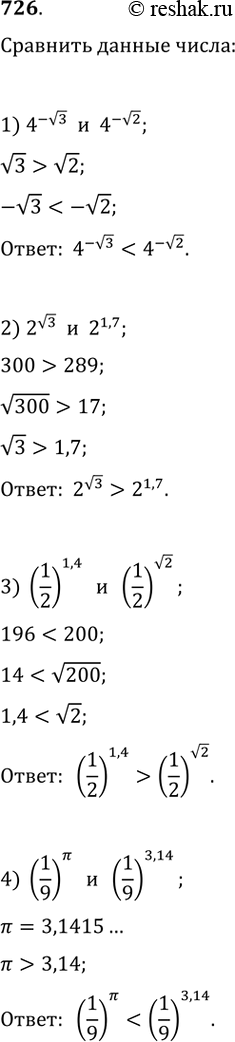
726. Сравнить числа:
1) 4^(-v5) и 4^(-v2)
2) 2^(v3) и 2^1,7
3) (1/2)^1,4и (1/2)^v2
4) (1/9)^pi и (1/9)^3.14
*размещая тексты в комментариях ниже, вы автоматически соглашаетесь с пользовательским соглашением