Упр.732 ГДЗ Мерзляк 8 класс (Алгебра)
Решение #1
Решение #2
Решение #3

Рассмотрим вариант решения задания из учебника Мерзляк, Полонская, Якир 8 класс, Вентана-Граф:
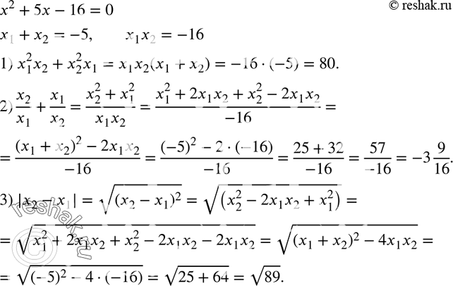
732. Известно, что x1 и x2 — корни уравнения х2 + 5x - 16 = 0. Не решая уравнение, найдите значение выражения:
1) x1^2 x2 + x2^2 x1;
2) x2/x1 + x1/x2;
3) |x2 - x1|.
*размещая тексты в комментариях ниже, вы автоматически соглашаетесь с пользовательским соглашением