Упр.740 ГДЗ Мерзляк 8 класс (Алгебра)
Решение #1
Решение #2
Решение #3

Рассмотрим вариант решения задания из учебника Мерзляк, Полонская, Якир 8 класс, Вентана-Граф:
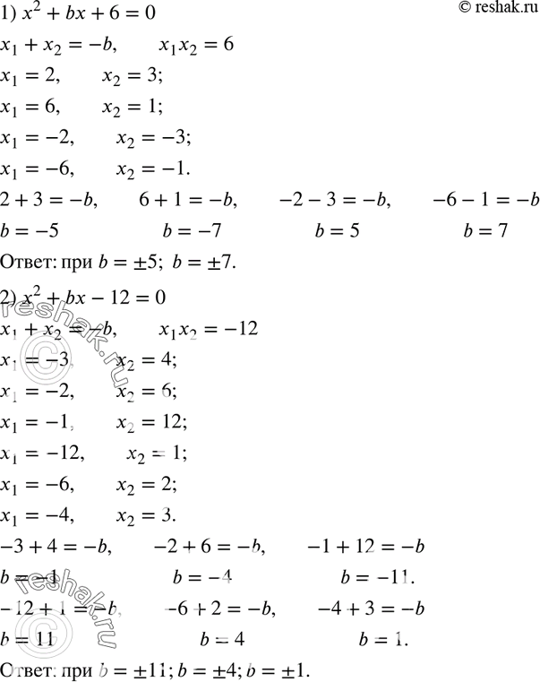
740. Найдите все целые значения b, при которых имеет целые корни уравнение:
1) х2 + bх + 6 = 0;
2) х2 + bх - 12 = 0.
*размещая тексты в комментариях ниже, вы автоматически соглашаетесь с пользовательским соглашением