Упр.755 ГДЗ Муравин 6 класс (Математика)
Решение #1

Рассмотрим вариант решения задания из учебника Муравин, Муравина 6 класс, Дрофа:
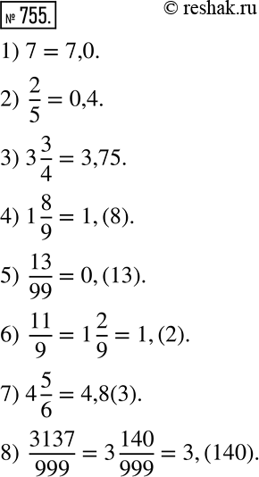
755. Запишите в виде десятичной дроби число:
1) 7;
2) 2/5;
3) 3 3/4;
4) 1 8/9;
5) 13/99;
6) 11/9;
7) 4 5/6;
8) 3137/999.
*размещая тексты в комментариях ниже, вы автоматически соглашаетесь с пользовательским соглашением