Упр.76 ГДЗ Колягин Ткачёва 11 класс (Алгебра)
Решение #1
Решение #2

Рассмотрим вариант решения задания из учебника Колягин, Ткачёва, Фёдорова 11 класс, Просвещение:
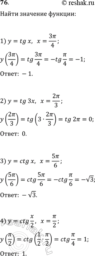
76. Найти значение функции при заданном значении аргумента:
1) y= tgx, x=3пи/4;
2) y= tg3x, x=2пи/3;
3) y= ctgx, x=5пи/6;
4) y= ctgx/2, x=пи/2.
*размещая тексты в комментариях ниже, вы автоматически соглашаетесь с пользовательским соглашением