Упр.782 ГДЗ Мерзляк 8 класс (Алгебра)
Решение #1
Решение #2
Решение #3

Рассмотрим вариант решения задания из учебника Мерзляк, Полонская, Якир 8 класс, Вентана-Граф:
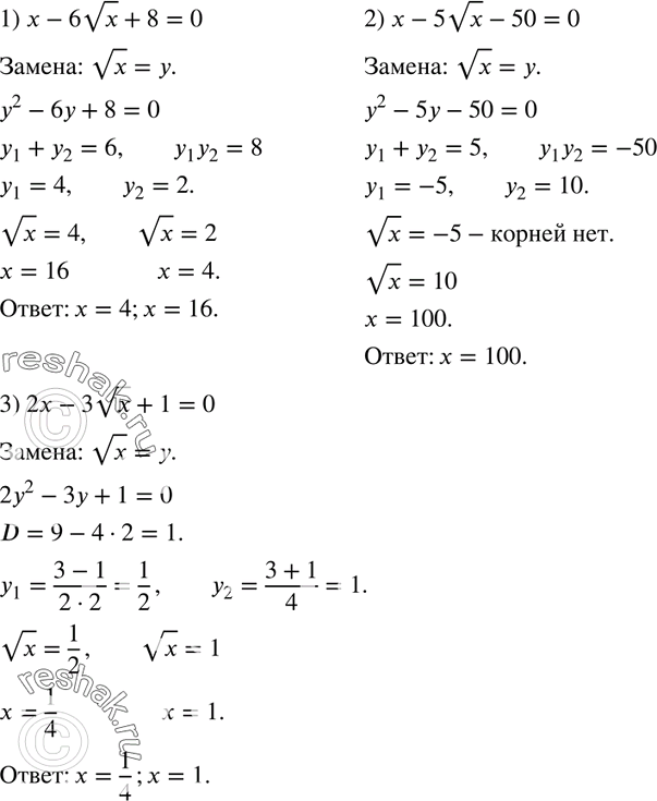
782. Решите уравнение:
1) х - 6 корень х + 8 = 0;
2) x - 5 корень x - 50 = 0;
3) 2x - З корень x + 1 = 0.
*размещая тексты в комментариях ниже, вы автоматически соглашаетесь с пользовательским соглашением