Упр.783 ГДЗ Муравин 6 класс (Математика)
Решение #1

Рассмотрим вариант решения задания из учебника Муравин, Муравина 6 класс, Дрофа:
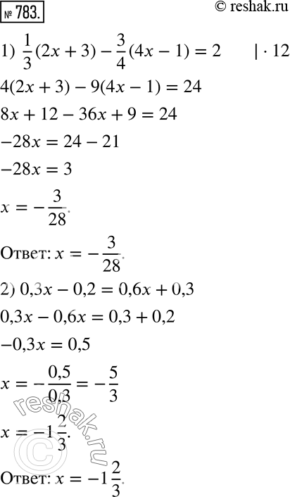
783. Решите уравнение:
1) 1/3 (2x+3)-3/4 (4x-1)=2;
2) 0,3x-0,2=0,6x+0,3;
3) 5 3/8 :0,5z=0,75:2;
4) 2,5y-0,4(2y+3)=3-1,5(2/3 y-1).
*размещая тексты в комментариях ниже, вы автоматически соглашаетесь с пользовательским соглашением