Упр.789 ГДЗ Дорофеев Шарыгин 6 класс (Математика)
Решение #1

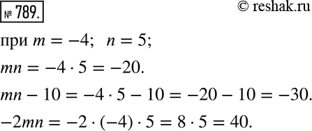
Рассмотрим вариант решения задания из учебника Дорофеев, Шарыгин, Суворова 6 класс, Просвещение:
789. Найдите значение каждого из выражений mn, mn - 10, -2mn при m = -4, n = 5.
*размещая тексты в комментариях ниже, вы автоматически соглашаетесь с пользовательским соглашением