Упр.789 ГДЗ Никольский Потапов 7 класс (Алгебра)
Решение #1

Рассмотрим вариант решения задания из учебника Никольский, Потапов 7 класс, Просвещение:
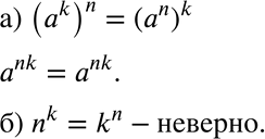
789. Справедливы ли равенства (n и k — натуральные числа):
а) (аk)n = (аn)k;
б) nk = kn?
*размещая тексты в комментариях ниже, вы автоматически соглашаетесь с пользовательским соглашением