Упр.793 ГДЗ Колягин Ткачёва 7 класс (Алгебра)
Решение #1

Рассмотрим вариант решения задания из учебника Колягин, Ткачёва, Фёдорова 7 класс, Просвещение:
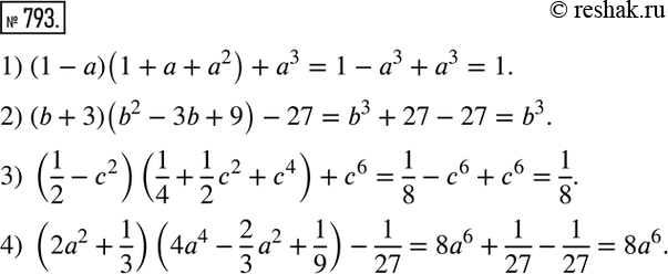
793. Упростить:
1) (1-a)(1+a+a^2 )+a^3;
2) (b+3)(b^2-3b+9)-27;
3) (1/2-c^2 )(1/4+1/2 c^2+c^4 )+c^6;
4) (2a^2+1/3)(4a^4-2/3 a^2+1/9)-1/27.
*размещая тексты в комментариях ниже, вы автоматически соглашаетесь с пользовательским соглашением