Упр.795 ГДЗ Колягин Ткачёва 7 класс (Алгебра)
Решение #1

Рассмотрим вариант решения задания из учебника Колягин, Ткачёва, Фёдорова 7 класс, Просвещение:
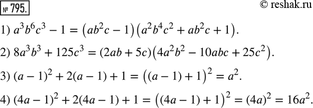
795. Разложить на множители:
1) a^3 b^6 c^3-1;
2) 8a^3 b^3+125c^3;
3) (a-1)^2+2(a-1)+1;
4) (4a-1)^2+2(4a-1)+1.
*размещая тексты в комментариях ниже, вы автоматически соглашаетесь с пользовательским соглашением