Упр.797 ГДЗ Ткачёва 6 класс (Математика)
Решение #1

Рассмотрим вариант решения задания из учебника Ткачёва 6 класс, Просвещение:
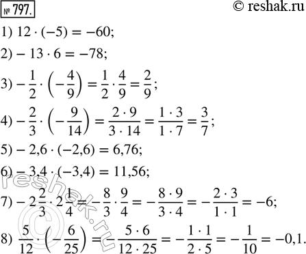
797. Выполнить умножение:
1) 12 · (-5); 2) -13 · 6; 3) -1/2 · (-4/9); 4) -2/3 · (-9/14);
5) -2,6 · (-2,6); 6) -3,4 · (-3,4); 7) -2 2/3 · 2 1/4; 8) 5/12 · (-6/25).
*размещая тексты в комментариях ниже, вы автоматически соглашаетесь с пользовательским соглашением