Упр.8.4 ГДЗ Мерзляк Поляков 8 класс (Алгебра)
Решение #1

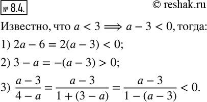
Рассмотрим вариант решения задания из учебника Мерзляк, Поляков 8 класс, Вентана-Граф:
8.4. Известно, что a<3. Какой знак имеет значение выражения:
1) 2a-6; 2) 3-a; 3) (a-3)/(4-a)?
*размещая тексты в комментариях ниже, вы автоматически соглашаетесь с пользовательским соглашением