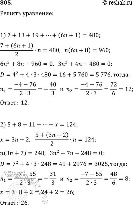
Упр.805 ГДЗ Мерзляк 9 класс (Алгебра)
Решение #1
Решение #2

Рассмотрим вариант решения задания из учебника Мерзляк, Полонская, Якир 9 класс, Вентана-Граф:
805. Решите уравнение:
1) 7 + 13 + 19 + ... + (6n + 1) = 480, где n — натуральное число;
2) 5 + 8 + 11 + ... + х = 124, где х — натуральное число.
*размещая тексты в комментариях ниже, вы автоматически соглашаетесь с пользовательским соглашением