Упр.811 ГДЗ Никольский Потапов 7 класс (Алгебра)
Решение #1

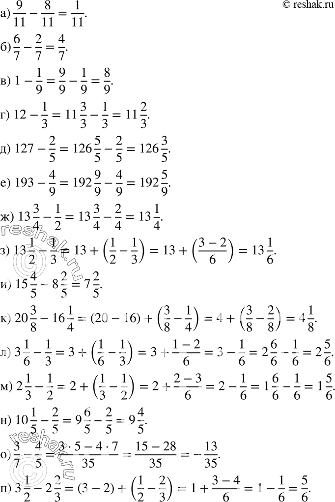
Рассмотрим вариант решения задания из учебника Никольский, Потапов 7 класс, Просвещение:
811 а) 9/11-8/11;
б) 6/7-2/7;
в) 1-1/9;
г) 12-1/3;
д) 127-2/5;
е) 193-4/9;
ж) 13*3/4-1/2;
з) 13*1/2-1/3;
и) 15*4/5-8*2/5;
к) 20*3/8 - 16*1/4;
л) 3*1/6 - 1/3;
м) 2*1/3-1/2;
н) 10*1/5-2/5;
о) 3/7-4/5;
п) 3*1/2-2*2/3.
*размещая тексты в комментариях ниже, вы автоматически соглашаетесь с пользовательским соглашением