Упр.82 ГДЗ Дорофеев Суворова 8 класс (Алгебра)

Решение #1

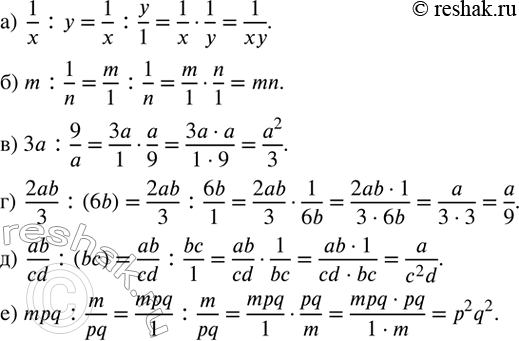
Изображение 82. Найдите частное (пример 5 из  текста):а)  1/x :y; б)  m:1/n; в)  3a:9/a; г)  2ab/3 :(6b); д)  ab/cd :(bc); е)  mpq:m/pq. ...
Загрузка...

Рассмотрим вариант решения задания из учебника Дорофеев, Суворова, Бунимович 8 класс, Просвещение:
82. Найдите частное (пример 5 из текста):
а) 1/x :y;
б) m:1/n;
в) 3a:9/a;
г) 2ab/3 :(6b);
д) ab/cd :(bc);
е) mpq:m/pq.

*Цитирирование задания со ссылкой на учебник производится исключительно в учебных целях для лучшего понимания разбора решения задания.
*размещая тексты в комментариях ниже, вы автоматически соглашаетесь с пользовательским соглашением