Упр.827 ГДЗ Дорофеев Суворова 7 класс (Алгебра)
Решение #1

Рассмотрим вариант решения задания из учебника Дорофеев, Суворова, Бунимович 10-11 класс, Просвещение:
Применяем алгебру (827 — 828)
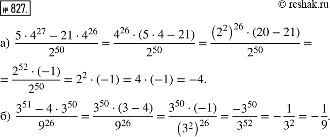
827 Найдите значение выражения:
а) (5 * 4^26 - 21 * 4^26)/2^50;
б) (3^51 - 4 * 3^50)/9^26.
*размещая тексты в комментариях ниже, вы автоматически соглашаетесь с пользовательским соглашением