Упр.827 ГДЗ Макарычев Миндюк 9 класс (Углубленный) (Алгебра)
Решение #1

Рассмотрим вариант решения задания из учебника Макарычев, Миндюк, Нешков 9 класс, Просвещение:
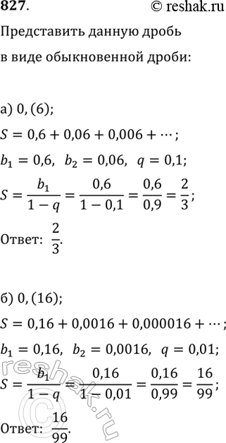
827. Представьте число в виде обыкновенной дроби и сделайте проверку, выполняя деление числителя обыкновенной дроби на её знаменатель: а) 0,(6); 6) 0,(16); в) 0,2(3); г) 0,12(5).
*размещая тексты в комментариях ниже, вы автоматически соглашаетесь с пользовательским соглашением