Упр.827 ГДЗ Никольский Потапов 8 класс (Алгебра)
Решение #1

Рассмотрим вариант решения задания из учебника Никольский, Потапов 8 класс, Просвещение:
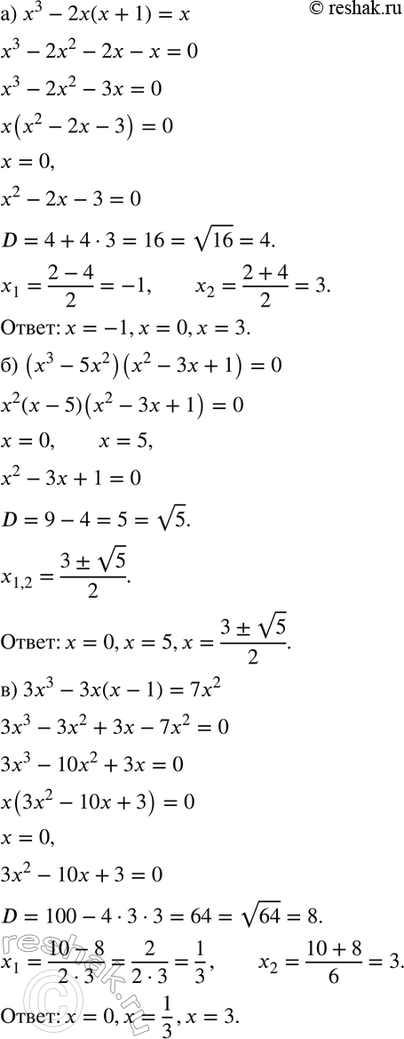
827 а) х3 - 2х(х + 1) = х;
б) (х3 - 5х2)(х2 - 3х + 1) = 0;
в) 3х3 - 3х(х - 1) = 7х2;
г) (14х3 + 19х2 + 12х)(2х2 - 7х + 6) = 0;
д) (х - 2)2 - 10 (х - 2) + 21 = 0;
е) (а + 1)2 - 9(а + 1) - 20;
ж) (2m - 1)2 + 4(2m - 1) + 3 = 0;
з) (3n + 2)2 = 15 - 2(3n + 2);
и) (x+1/x)2 - 4*1/2(x+1/x)+5=0;
к) x2+1/x2-1/2(x+1/x)-3=0.
*размещая тексты в комментариях ниже, вы автоматически соглашаетесь с пользовательским соглашением