Упр.83 ГДЗ Колягин Ткачёва 11 класс (Алгебра)
Решение #1
Решение #2

Рассмотрим вариант решения задания из учебника Колягин, Ткачёва, Фёдорова 11 класс, Просвещение:
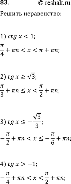
83. Решить неравенство:
1) ctgx<1;
2) tgx>= корень 3;
3) tgx<=-корень 3/3;
4) tgx>-1.
*размещая тексты в комментариях ниже, вы автоматически соглашаетесь с пользовательским соглашением