Упр.830 ГДЗ Колягин Ткачёва 10 класс (Алгебра)
Решение #1
Решение #2

Рассмотрим вариант решения задания из учебника Колягин, Ткачёва, Фёдорова 10 класс, Просвещение:
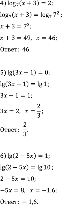
830. Решить уравнение:
1) логарифм (5х-1) по основанию 3 = 2
2) логарифм (3х+1) по основанию 5 = 2
3) логарифм (2х-3) по основанию 4 = 1
4) логарифм (х+7) по основанию 7 = 2
5) десятичный логарифм (3х-1) = 0
6) десятичный логарифм (2-5х) = 1
*размещая тексты в комментариях ниже, вы автоматически соглашаетесь с пользовательским соглашением