Упр.833 ГДЗ Дорофеев Суворова 7 класс (Алгебра)
Решение #1

Рассмотрим вариант решения задания из учебника Дорофеев, Суворова, Бунимович 10-11 класс, Просвещение:
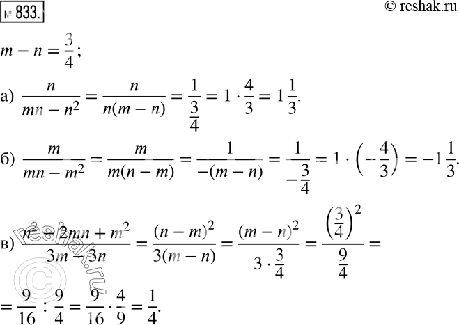
833 Известно, что m - n = 3/4. Чему равно значение выражения:
а) n/(mn-n2);
б) m/(mn-m2);
в) (n2 - 2n + m2)/(3m - 3n)?
*размещая тексты в комментариях ниже, вы автоматически соглашаетесь с пользовательским соглашением