Упр.834 ГДЗ Колягин Ткачёва 7 класс (Алгебра)
Решение #1

Рассмотрим вариант решения задания из учебника Колягин, Ткачёва, Фёдорова 7 класс, Просвещение:
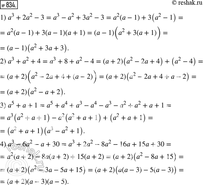
834. Разложить на множители:
1) a^3+2a^2-3;
2) a^3+a^2+4;
3) a^5+a+1;
4) a^3-6a^2-a+30.
*размещая тексты в комментариях ниже, вы автоматически соглашаетесь с пользовательским соглашением