Упр.838 ГДЗ Колягин Ткачёва 7 класс (Алгебра)
Решение #1

Рассмотрим вариант решения задания из учебника Колягин, Ткачёва, Фёдорова 7 класс, Просвещение:
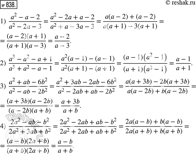
838. Сократить дробь:
1) (a^2-a-2)/(a^2-2a-3);
2) (a^3-a^2-a+1)/(a^3+a^2-a-1);
3) (a^2+ab-6b^2)/(a^2-ab-2b^2 );
4) (2a^2-ab-b^2)/(2a^2+3ab+b^2 ).
*размещая тексты в комментариях ниже, вы автоматически соглашаетесь с пользовательским соглашением